Skip to content
Proyectos de ley
AiGPON red de uso compartido nacional de fibra optica
AiGPON PPE Panama Produce y Exporta
AiGPON AMI Infraestructura de medicion avanzada
English
AiGPON FO ENGLISH
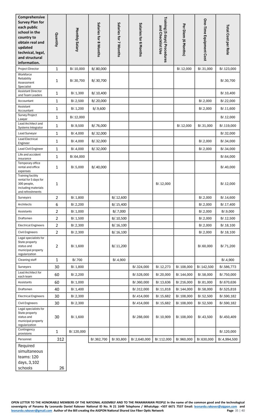
OPEN LETTER TO THE HONORABLE MEMBERS OF THE NATIONAL ASSEMBLY OF THE REPUBLIC AND TO THE PANAMANIAN PEOPLE
AiGPON AMI
AiGPON PPE – Panama Produce Export
Transparecncia
CARTA ABIERTA A LOS HONORABLES DIPUTADOS DE LA REPÚBLICA Y AL PUEBLO PANAMEÑO
RESPUESTAS INSTITUCIONALES A OBJECIONES FRECUENTES FORMULADAS POR ALGUNOS HONORABLES DIPUTADOS
Resolucion de gabinete N 10 del 11 Febrero 2025
Constancias documentadas de entrega
Cuadro de apoyo institucional por Diputado
Quienes somos
Nuestra historia
Empresas integrantes del Ecosistema AiGPON
Para quienes diseñamos los proyectos
Declaración de no interés político
Principios Eticos
Proyectos de ley
AiGPON red de uso compartido nacional de fibra optica
AiGPON PPE Panama Produce y Exporta
AiGPON AMI Infraestructura de medicion avanzada
English
AiGPON FO ENGLISH
OPEN LETTER TO THE HONORABLE MEMBERS OF THE NATIONAL ASSEMBLY OF THE REPUBLIC AND TO THE PANAMANIAN PEOPLE
AiGPON AMI
AiGPON PPE – Panama Produce Export
Transparecncia
CARTA ABIERTA A LOS HONORABLES DIPUTADOS DE LA REPÚBLICA Y AL PUEBLO PANAMEÑO
RESPUESTAS INSTITUCIONALES A OBJECIONES FRECUENTES FORMULADAS POR ALGUNOS HONORABLES DIPUTADOS
Resolucion de gabinete N 10 del 11 Febrero 2025
Constancias documentadas de entrega
Cuadro de apoyo institucional por Diputado
Quienes somos
Nuestra historia
Empresas integrantes del Ecosistema AiGPON
Para quienes diseñamos los proyectos
Declaración de no interés político
Principios Eticos
Menu